phychicist
2015년 4월 18일 토요일
508 정전에너지*
508
정전에너지
502
88
504
500
이용개념
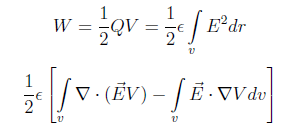
고정된 전계가 있는 공간에서 전하가 가지는 위치에너지는 electro-static energe라고 한다. 주로 축전기(capacitor)에서 주로 쓰이며 평행판인지 아닌지 구분해서 써야한다. 증명참고해야한다.
J
관련서적 및 논문
*증명과정에 의문점이 아주 많다.
댓글 없음:
댓글 쓰기
최근 게시물
이전 게시물
홈
피드 구독하기:
댓글 (Atom)
댓글 없음:
댓글 쓰기